Калькулятор физического износа ТС
Пояснение
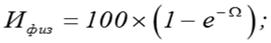
Расчет величины физического износа требующих замены комплектующих изделий (деталей, узлов и агрегатов) транспортного средства иностранного производства и производства стран СНГ, производится по следующей формуле:

где:
- e – основание натуральных логарифмов
- Ω – вычисляется как: Ω = -(а×Д + b×П)
- Д – срок эксплуатации (рассчитывается как: текущий год - год выпуска)
- П – пробег (введенный пробег / 1000 км)
- a, b – эмпирические коэффициенты из таблицы ниже:
Примечание
При определении стоимости восстановительного ремонта транспортного средства, находящегося в удовлетворительном состоянии по внешнему виду и отвечающего эксплуатационным характеристикам, соответствующего условиям безопасности эксплуатации и требованиям законодательства Республики Казахстан о дорожном движении, но достигшего расчетного процента износа более 75 (семидесяти пяти) процентов, последний снижается до уровня 75 (семидесяти пяти) процентов.